您当前位置:主页 > 平台与方案 > 智慧能源控制柜 > ST-730一次调频装置 >
作者:舜通智能 来源: 发布时间:2022-07-09 热度:0
随着越来越多的新能源厂站(风电场、光伏电站)投产并网,由于风、光资源的间歇性,越来越多的新能源厂站给电网调度系统带来了巨大的调峰压力,增加了电网系统的不稳定性因素。因此,有必要对新能源厂站安装一次调频装置。
ST-730一次调频控制装置正是在此背景下开发的,是为实现风电场或光伏电站一次调频响应控制而研制的专用系统和设备,能够实时监测电网系统频率,电网频率越限时,ST-730装置启动频率响应模式,迅速协调新能源场站有功输出,快速实现对电网频率的有效控制。

ST-730采用800*600*2200标准控制柜方式安装,电源支持AC/DC 220V/110V 50~60Hz单电源/冗余电源可选(失电告警);内置一台QTouch-3200一次调频核心服务,操作系统采用实时Linux系统,搭载最新的QTouch自主可控跨平台组态软件V3.0版本,具备IEC60870、IEC61850、Modbus、OPC等众多通讯接口,具有强大的逻辑编程能力,可以自定义控制策略和自动控制方式。
系统内置一台高精度电网频率采集装置,具有分辨率为0.001Hz的频率采集性能,并有长达2000个周期数据录波功能,具有电能量统计、谐波采集、快速电压波动、电压暂变、动态捕捉等强大的电网数据分析能力;具有SOE记录、故障录波、稳态/暂态/瞬态电能质量、多路DO输出等特色功能,功能强大。
系统内置一台17寸的可触摸显示器,以及一台工业级数据交换机,显示器通过QTouch图形界面显示系统一次接线图及系统参数信息,便于用户实时查看监控系统,工业交换机用于对接调度数据网和厂站数据网。
外观结构尺寸如下图所示:

3.1 主要功能
仿照常规电源机组一次调频功能,在新能源场站有功控制系统中实现有功-频率下垂特性控制,实现新能源参与电网快速频率响应功能。具体功能如下:
(1) 当系统频率发生偏移时,新能源电站能进行一次调频响应。
(2) 具备动作录波功能,最大可以支持2000个周期的波形,支持长期数据存储,具有COMMTRADE波形显示分析,并通过IEC61850或文件ftp等方式传输。
(3) 可根据电网要求进行本地及远方的定值修改。
(4) 设备具备B码对时,也可通过规约进行时钟同步。
(5) 具备MODBUS、IEC60870、IEC61850等电力规约,可与AGC系统、EMS及逆变器实现数据通讯。
(5) 可与远动系统通讯上传数据至调度主站,进行数据交互。
(6) 可与AGC控制相协调,有功功率的控制目标应为AGC指令值与一次调频调节量代数和。
(7) 具备一次调频在线主动功能。能够接受省调主站一次调频在线主动信号,实时向主站反馈场站一次调频信号等功能。
(8) 具有日志记录,统计功能,可以查询一次调频动作次数,响应出力等信息。
3.2 快速调频响应功能
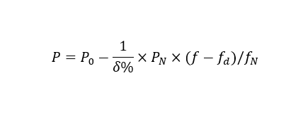
新能源(风电场、光伏发电站)场站通过保留有功备用或配置储能设备,并利用相应的有功控制系统或加装独立控制装置来实现一次调频功能。电网高频扰动情况下,一次调频动作量达10%额定出力后可不再向下调节,电网低频扰动情况下,一次调频动作量达5%额定出力后可不再向上调节(10%、5%均为推荐设定值)。一次调频下垂特性通过设定频率与有功功率折线函数实现,即:

fd —— 一次调频死区,Hz;
fN —— 系统额定频率,Hz;
PN —— 额定功率,MW;
d% —— 新能源一次调频调差系数;
P0 —— 有功功率初值,MW。
以本技术要求推荐一次调频技术参数设定值为例,一次调频死区设定0.05Hz,调差系数设定5%,一次调频功率上调节最大功率限幅设定为6% PN ,一次调频功率下调节最大功率限幅设定为10% PN。新能源场站参与电网一次调频的下垂曲线如下图所示:

3.3 快速频率响应技术指标
对于调节变化量不低于额定出力10%的频率阶跃扰动,响应过程满足以下要求如下图。

响应滞后时间thx:自频率越过光伏电站调频死区开始到发电出力可靠的向调频方向开始变化所需的时间。
响应时间t0.9:自频率超出调频死区开始,至有功功率调节量达到调频目标值与初始功率之差的90%所需时间。
调节时间ts:自频率超出调频死区开始,至有功功率达到稳定(功率波动不超过额定出力±1%)的最短时间。
新能源场站一次调频启动时间不大于3s;
风电场一次调频响应时间不大于10s,调节时间不大于15s;
光伏电站一次调频响应时间不大于5s,调节时间不大于15s。
3.4 通信接口
系统与光伏电站/风电场能量管理系统通信采用网络通信接口,通信规约推荐使用IEC60870-5-104规约。
3.5 图形监控软件
系统可通过曲线、棒图、饼图等显示方式来观察数据的变化情况,多条曲线能用不同的颜色绘制在同一窗口中,所有曲线均图表合一,同时提供各种统计值的显示(平均值、最大值及发生时间、最小值及发生时间等)。
系统提供界面支持对系统参数配置的读取、修改、更新,包括通信参数、信息点表、安全约束条件、死区范围、超时时间等;
系统提供对装置所有通信接口(串口、以太网口)的通信监视功能;
4.1 控制性能指标
一次调频死区:风电场站一次调频的死区宜设置为±0.03~0.06Hz, 推荐设定值为±0.05Hz;光伏场站一次调频的死区宜设置为±0.02~0.05Hz,推荐设定值为±0.05Hz。
一次调频调差系数:新能源场站一次调频调差系数宜设置为2%~6%,推荐设定值为5%。
一次调频限幅:
新能源场站的有功出力大于20%Pn 时,一次调频动作应满足下列要求:
a) 当系统频率低于额定频率并越过一次调频死区时,新能源场站应根据一次调频曲线增加有功功率输出,当有功调节量达到设定值时可不再继续增加,一次调频功率上调节限幅推荐设定值为6%Pn;
b) 当系统频率高于额定频率并越过一次调频死区时,新能源场站应根据一次调频曲线减少有功功率输出,当有功调节量达到设定值时可不再继续减少,一次调频功率下调节限幅推荐设定值为10%Pn。
一次调频动态指标
频率阶跃试验中,一次调频动态指标应满足以下要求:
a) 新能源场站一次调频启动时间不大于3s;
b) 风电场一次调频响应时间不大于10s,调节时间不大于15s;
c) 光伏电站一次调频响应时间不大于5s,调节时间不大于15s。
一次调频控制偏差:在频率偏离死区出力稳定后,新能源场站响应一次调频指令的有功出力偏差应在额定出力的±2%以内。
场站级调频装置应选择新能源场站并网点电压为频率测量点,且一次调频功能满足以下技术要求:
a) 测频精度:频率测量分辨率不大于0.003Hz;
b) 频率采样周期:频率采样周期不大于100ms;
c)一次调频回路运算周期 :一次调频回路程序运算周期不大于100ms。
4.2装置的物理及环境特性
在硬件上,QTouch-3200核心服务器装置基于全密闭无风扇、无硬盘嵌入式硬件平台,运行稳定可靠,并采用了硬件看门狗技术。
在电源方面,为了保证装置的可靠运行,采用隔离技术,使弱电系统和强电系统完全隔离,这样能去除大部分低频干扰;其次,对于高频干扰,在每一路电源中使用高性能的EMI滤波器,使干扰信号在电源入口处便被滤除,良好的结构设计大大增强了装置的电磁兼容性能。
在软件设计上,提供关键进程的运行状态监视和守护功能,在进程运行异常的情况下可以自动重启软件程序,保证软件程序的连续不间断运行。
4.3运行可靠性
1.MTBF>45000小时;
2.使用寿命>15年。
4.4电源
1.交流、直流电源:220V ± 20% V,50Hz ;
2.电源电压范围在176-253V(Ui × %80 ~ Ui × %115)范围内不影响数据传输正确性。
4.5绝缘性能
绝缘电阻:
通讯端口对地绝缘电阻 ≥ 5MΩ;
电源端口对地绝缘电阻 ≥ 5MΩ。
绝缘强度:
通讯端口对地绝缘强度:加500V无击穿与闪络;
电源端口对地绝缘强度:加1500V无击穿与闪络;
4.6电磁兼容
1.振荡波抗扰度符合 GB/T 15153.1-1998的有关条款;
2.静电放电抗扰度符合GB/T 15153.1-1998的有关条款;
3.电快速瞬变脉冲群抗扰度符合 GB/T 17626.4-1998的有关条款;
4.工频磁场抗扰度符合GB/T 15153.1-1998和GB/T 17626.8-2006的有关条款。
4.7工作环境
1.工作温度:-5℃ ~ 65℃;
2.贮存温度:-30℃ ~ 85℃;
3.湿度:< 90%(无凝露);
4.运输:符合IEC60870-2-2 级别2K4。
4.8参考标准
1.《并网电源一次调频技术规定及实验导则》GB/T 40595-2021;
2.《风电场接入电力系统技术规定》GB/T 19963-2011;
3.《电力系统网源协调技术规范》DL/T 1870-2018。
上一篇:没有了
下一篇:没有了










