QTouch在快速调频上的应用
作者:舜通智能 来源: 发布时间:2020-01-20
热度:0
一、概述
随着西北电网新能源快速持续发展,装机占比的不断升高,挤占常规电源机组空间,已成为西北电网第二大装机电源,由于新能源不具备一次调频能力,电网频率控制的结构性困境日趋明显,随着特高压直流输电工程的大量投产,系统功率平衡及调频难度不断加大,直流大功率闭锁对电网频率安全造成严重威胁,迫切需要新能源机组参与电网快速频率响应,提升大电网频率安全水平。
二、依据标准
《国家能源局西北监管局关于推进西北电网新能源场站快速频率响应工作的通知》西北监能市场〔2016〕43号
《国家能源局西北监管局关于开展西北电网新能源场站快速频率响应功能推广应用工作的批复》西北监能市场〔2018〕41号
《电力系统网源协调技术规范》
DL/T634.5104远动设备及系统第5-104部分:传输规约采用标准传输协议子集的IEC60870-5-101网络访问
三、系统介绍
系统运行环境:Ubuntu14.04server
软件:QTouch
1、工程截图:
QTouch通过IEC60870-104协议与并网点测控装置和100台数采通讯,与AGC监控平台通过modbusTCP协议通讯;
2、计算及控制
实时监测并网点频率变化,当频率变化超出死区、调节条件允许的情况下(必需预留多种判断条件)快速启动快速频率响应程序,根据功率-频率下垂特性曲线并结合采集的逆变器运行数据和工况,计算出需要控制的有功数值和/或百分比,对场站内所有在运逆变器进行合理分配,并完成下发控制命令,同一次调节控制指令需支持有功数值和百分比单独或混合两种格式发送给不同厂家的数采装置,系统具备不断连续跟踪并网点频率变化,进行闭环控制,具备二次调节功能;系统调节响应性能指标、有功控制周期及参数设定满足“西北能监市场[2018]41号文件”要求并预留无功控制功能
光伏电站快速频率响应有功-频率下垂特性曲线
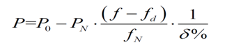
计算公式:
fd为快速频率响应死区,单位:Hz
fN为系统额定频率,单位:Hz
PN为额定功率,单位:MW
P0有功功率初始值,单位:MW
δ%调差率
QTouch快频系统在各种工况条件下,完成了快频向上调节和向下调节,以及调节的效率,控制调节命令全部发送完成时间在700ms以内,调节误差在允许的范围之内。